※ 해당 글은 책 "한 걸음씩 알아가는 선형대수학[한빛아카데미]"을 공부한 내용을 정리한 글임을 알립니다.
1.1 연립일차방정식
- 일차방정식(linear equation) : 등호를 기준으로 좌우에 2개의 수학적 표현이 동일한 식으로, 모든 변수의 지수가 1 또는 0인 방정식
- 예) x + 2y + z = 5
- 연립일차방정식(linear system) : 유한개의 미지수 x, y, z, w, ...로 이루어진 유한개의 일차방정식
- 즉, 선형대수학은 일차방정식을 탐구하는 학문
일차방정식의 그래프
- 2차원에서는 직선, 3차원에서는 평면(plane)
연립일차방정식의 해
- 연립일차방정식의 해를 구하기 위해서는 소거법을 이용하면 된다
- 해(solution) = 연립일차방정식을 만족하는 값 또는 연립일차방정식의 해집합(set of solutions)
- 혹은 그래프의 교점 좌표 (x, y)
- 해를 구하기 위한 작업 :
- 두 방정식의 위치를 바꿉니다.
- 방정식에 0이 아닌 상수를 곱합니다.
- 한 방정식에서 다른 방정식을 빼거나 더합니다.
해의 유형
- 해의 유형(이미지1, 이미지2) :
- 해가 없는 경우(inconsistent)
- 해를 가질 경우(consistent) :
- 해가 무수히 많은 경우
- 해가 없는 경우는 n개의 일차방정식 즉, n개의 직선이 평행하여 교점이 없는 경우를 뜻한다
- 해가 무수히 많은 경우는 해가 적어도 하나 이상이고, n개의 일차방정식 즉, n개의 직선이 일치하는 경우를 뜻한다


1.2 가우스 소거법(Gaussian elimination)
- 연립일차방정식의 해를 구하기 위해서는 행렬(matrix)와 기약행 사다리꼴(reduced row echelon form)을 알아햐 한다.
- 행렬을 기약행 사다리꼴로 나타낼 수 있다면 해에 대한 질문에 답할 수 있다
- 해가 존재하는가?
- 해가 유일한가?
- 해가 무수히 많은가?
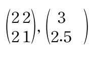
행렬(matrix)
- 아래의 연립일차방정식을 행렬로 표현하면 다음과 같다 :


- 왼쪽 괄호는 x,y의 계수를 나타내는 계수행렬(matrix of coefficient)
- 오른쪽 괄호는 총 비용을 나타내는 벡터(vector)
- 행렬은 데이터를 표현하는 효율적인 방법이다
- 첨가행렬(augmented matrix) : n개의 미지수를 갖는 방정식 m개로 이루어진 연립일차방정식이 있다고 했을 때, 미지수 x1, x2, x3, ..., xn의 계수와 우변의 상수를 포함하는 행렬
- augmented : 늘린다라는 의미(to increase)
- 행렬을 늘린다는 것은 기존 행렬에 하나 이상의 열을 추가한다는 것
- 상수를 나타내는 b열을 기존 계수행렬에 첨가
- 계수행렬과 b열은 수직선으로 구분한다


- 첨가행렬의 기본 행 연산(elementary row operation)은 다음과 같다 :
- 0이 아닌 상수를 한 행에 곱합니다.
- 1 번에서 얻은 행을 다른 행에 더하거나 뺍니다.
- 행을 교환(interchange rows)합니다.
가우스 소거법
- 미지수 x, y, z, w, ... 의 값을 찾기 위해 기본 행 연산을 수행하는 방법을 가우스 소거법이라고 한다.
- 가우스 소거법은 첨가행렬 → 행 사다리꼴로 변환하는 과정이다

- 연립일차방정식을 첨가행렬로 변환하고 이때 좌측 하단의 3개의 숫자(세모)를 기본 행 연산을 이용하여 0으로 만들어야 한다
- 미지수를 모두 구하면 비로소 첨가행렬의 해를 구한 것이다
- 후방 대입(back substitution) : 3행에서 z값을 알았으니 이것을 이용하여 y와 x의 값을 z값을 대입하여 찾을 수 있다
- 가우스 소거법의 목적 : 행렬의 좌측 하단 모서리를 0으로 바꾸어 '삼각'행렬을 만드는 것
- 기본 행 연산을 이용하여 하나의 행렬이 다른 행렬로 변환되는 경우, 두 행렬을 행동치(row equivalent)라고 한다
- 만약 두 연립일차방정식의 첨가행렬이 서로 행동치이면 두 연립일차방정식의 해는 같다
가우스 - 조던 소거법
- 가우스 조던 소거법은 첨가행렬 → 기약행 사다리꼴로 변환하는 과정
- 다음 네 가지 조건을 모두 만족하면 기약행 사다리꼴(rref)이다 :
- 모든 성분이 0인 행은 행렬의 마지막 행으로 둡니다.
- 0이 아닌 성분이 있는 행에서 첫 번째로 0이 아닌 성분은 1입니다. 여기서, 1을 선행 1(leading 1)이라고 합니다.
- 모든 성분이 0이 아닌 인접한 두 행의 선행 1은 행렬의 왼쪽 상단에서 오른쪽 하단으로 단계적으로 구성됩니다.
- 선행 1을 포함하는 열에서 0이 아닌 유일한 성분은 선행 1입니다.
- 조건 4만 만족하지 않으면 행 사다리꼴이다
- 선행 1은 선행계수(leading coefficient)라고도 한다
- 기약행 사다리꼴은 첨가행렬을 아래와 같은 모습으로 변환하는 것을 말한다 :

- 기약행 사다리꼴로 변환하는 것도 마찬가지로 기본 행 연산을 통해 해를 구할 수 있다
- 기약행 사다리골 행렬은 다양한 행 연산을 하더라도 유일한 형태를 가진다
- 행 사다리꼴은 형태가 유일하지 않다
소거법 등의 예시 풀이도 업로드하고 싶은데 수식을 한컴으로 하나하나 추가해서 넣자니 시간이 너무 많이 소요되어 못하는 점이 아쉽다... 노트에 푼 것도 정갈하지 않아서 올리긴 그렇고.. 이럴 때 패드가 있으면 편리하겠다는 생각이 든다 ㅠㅠ..
아무튼 선형대수학 공부 힘내보자..!